Έντυπα & Αιτήσεις

ΕΞΥΠΗΡΕΤΗΣΗ / Έντυπα & Αιτήσεις

Δημόσια Υγεία & Καθαριότητα

31 Ιουλ. 2013
Αίτηση για έκδοση Υγειονομικού Πιστοποιητικού

Κάθε υποστατικό τροφίμων που ασχολείται με την παρασκευή/ επεξεργασία/ συσκευασία/ διανομή-αποθήκευση/ πώληση τροφίμων (και συσκευασμένων) πρέπει να έχει έγκυρο Υγειονομικό Πιστοποιητικό.

31 Ιουλ. 2013
Αίτηση καταχώρησης υποστατικού τροφίμων στο μητρώο του Δ.Ι.Υ. και Υ.Δ.Υ.

Σύμφωνα με την εθνική και κοινοτική νομοθεσία, οποιοδήποτε υποστατικό ασχολείται με την παρασκευή, μεταποίηση, διανομή και πώληση τροφίμων, συμπεριλαμβανομένων και ποτών, πρέπει να είναι καταγεγραμμένο στο μητρώο της Αρμόδιας Αρχής, όπου για την Κυπριακή Δημοκρατία είναι το Υπουργείο Υγείας και...

Έκδοση Αδειών Πλανοδιοπώλησης για την Υπαίθρια Αγορά της Κυριακής (Παζαράκι στο «ΟΧΙ»)

Ενστάσεις για τα Σκύβαλα

Δημοτικό Διαμέρισμα Αγλαντζιάς

Αίτηση για μείωση τιμολογίου έναντι σακουλιών για ΑμεΑ Αγλαντζιάς

Δικαιούχοι Επιδόματος Βαριάς Κινητικής Αναπηρίας ή Φροντίδας Παραπληγικών ή Χορηγίας Τυφλών (Τμήμα Κοινωνικής Ενσωμάτωσης Ατόμων με Αναπηρίες)

Αίτηση για μείωση τιμολογίου έναντι σακουλιών τρίτεκνης οικογένειας

Τρίτεκνοι δικαιούχοι επιδόματος τέκνων σύμφωνα με τον Ν. 314/87, που έχουν τρία εξαρτώμενα τέκνα.

Τεχνική Υπηρεσία

18 Οκτ. 2023
Κατασκευή δημόσιου πεζοδρομίου - ΛΕΠΤΟΜΕΡΕΙΑ ΡΑΜΠΑΣ ΑΜΕΑ

Πληροφορίες: Μαρίνα Κασσιανού 22797440 marina.kassianou@nicosiamunicipality.org.cy

18 Οκτ. 2023
Κατασκευή δημόσιου πεζοδρομίου - Τυπική λεπτομέρεια - με οχετό ομβρίων

Πληροφορίες: Μαρίνα Κασσιανού 22797440 marina.kassianou@nicosiamunicipality.org.cy

18 Οκτ. 2023
Κατασκευή δημόσιου πεζοδρομίου - Τσιμεντόπλακες και κρασπεδόλιθοι

Πληροφορίες: Μαρίνα Κασσιανού 22797440 marina.kassianou@nicosiamunicipality.org.cy

Έντυπα - Δημόσια Υγεία

Μαζί για μια καθαρή πόλη

Μάζεψε τα, μην τα αφήσεις γιατί μια μέρα εσύ θα τα πατήσεις.

Μαζί για μια καθαρή πόλη

Μάζεψε τα, μην τα αφήσεις γιατί μια μέρα εσύ θα τα πατήσεις.

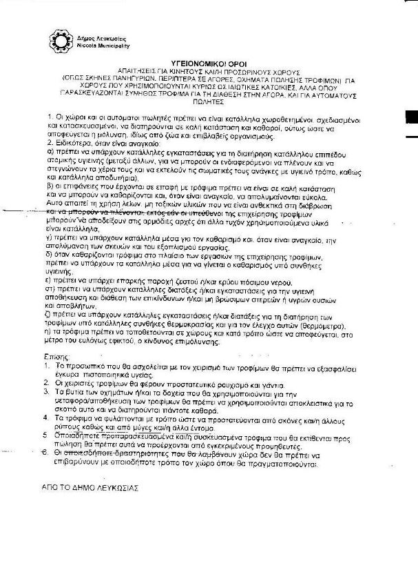
31 Ιουλ. 2013
Υγειονομικοί Όροι για κινητούς και προσωρινούς χώρους πώλησης τροφίμων

Σύμφωνα με την εθνική και κοινοτική νομοθεσία οι διάφορες σκηνές σε πανηγύρια, τα περίπτερα σε αγορές και τα οχήματα πώλησης τροφίμων υπόκεινται σε ειδικές απαιτήσεις της νομοθεσίας με σκοπό τη διασφάλιση της υγιεινής και ασφάλειας των τροφίμων που προσφέρονται.

Σχέδιο Δημοσίευσης του Δήμου Λευκωσίας

Σχέδιο Δημοσίευσης του Δήμου Λευκωσίας δυνάμει του α. 7 του Περί του Δικαιώματος Πρόσβασης σε Πληροφορίες του Δημόσιου Τομέα Νόμος, Ν. 184(Ι)/2017